Stránka 1 z 1
Rádio 6000CD + handsfree (aux in, phone in) - VYŘEŠENO
Napsal: 26.02.2012 19:13
od Ajik
- - - - - - - - - - - -
Finální a funkční zapojení v tomto příspěvku
- - - - - - - - - - - -
Chtěl bych Vás poprosit o pomoc s napojením handsfree sady Parrot MKi 9200 na rádio 6000CD.
Prošel jsem snad každý příspěvek týkající se rádia a jeho konektorů, ale nikde jsem nenašel následující:
Mám rádio 6000CD s tímto konektorem:

- Konektor rádia 6000CD
Handsfree sada Parrot MKi 9200 má na výstupu 4 vodiče pro audio (L+, L-, P+, P-, což odpovídá pinům pro Aux na rádiu) a jeden vodič pro mute (přepnutí na telefon).
Jak to napojit na sebe?
Když zapojím Parrota na AUX 1 (konektor B), tak budu moct poslouchat hudbu (stereo) pokud rádio přepnu tlačítkem na AUX.
Jak ale udělat automatický přechod rádia na telefon (z tuneru či CD) při příchozím hovoru? K tomuto sice slouží pin 5 - PTA na konektoru B, ale bude mi to brát zvuk (hovor) z pinů pro AUX 1 (pin 3, 4, 9, 10) či z pinů pro Mono +/- (pin 1 a 7).
Co bude rádio říkat na přímé spojení pinů Mono+ s AuxL+ a Mono- s AuxL- ?
Díky za každý názor či radu.
Re: Rádio 6000CD + handsfree (aux in, phone in)
Napsal: 26.02.2012 19:37
od Anduril
Ja jsem pri montazi Parrota MKi zakoupil k tomu spec. redukci primo na konektory pouzite v aute. Nebylo treba nic prepojovat a nicit. Stacilo vrazit redukci mezi parrota a auto.
Tady:
http://www.levnealarmy.cz/eshop/hands-f ... t-092.html
S redukci to pak funguje tak, ze parrot vyuziva pouze reproduktory v aute. Vystup z radia je v pripade pouziti parrota (hovor, hudba) prerusen - prerusenim vystupu do reproduktoru - to zajistuje parrot. Parrot pouziva vlastni zesilovac.
Kvalita vystupu parrota pri tomto zapojeni mozna neni tak dobra, jako pri pripojeni pres zesilovac radia, ale velka vyhoda je v tom, ze nemusis mit radio zapnute, abys mohl parrota pouzit. Take to umoznuje napr to, ze ti navigace pripojena pres BT keca do radia a podobne.
Re: Rádio 6000CD + handsfree (aux in, phone in)
Napsal: 26.02.2012 19:47
od Ajik
Díky, o možnosti využití vnitřního zesilovače Parrota vím, ale té bych se chtěl vyhnout.
Re: Rádio 6000CD + handsfree (aux in, phone in)
Napsal: 26.02.2012 20:18
od Anduril
Neni to ale zdaleka tak hrozne, jak by se mohlo zdat. Hraje dobre. A ma to proste sve vyhody, jak jsem psal.
Pak existuje jeste nejaka aktivni redukce, prodava ji primo ford. Ta propojuje parrota s radiem tak,ze to potom funguje jako original HF (krome ovladani hovoru a zobrazeni na displeji radia), ale stoji pres 2 tisice a aby vubec hf fungovalo, musi byt cele radio zapnute (tzn jako u original HF).
Re: Rádio 6000CD + handsfree (aux in, phone in)
Napsal: 26.02.2012 21:26
od Ajik
Zkoušel jsem hledat, ale strejda google ohledně vnitřního zapojení rádia mlčí, a tak zkusím něco sám, jsem zvědav na Vaše názory.
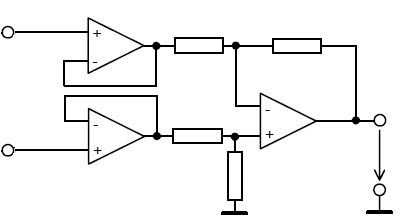
Vstupy jsou vedeny jako "balanced", tedy signál je dán rozdílem potenciálů mezi vodičem + a -, nikoli mezi vodičem a zemí. Vstup je tedy odolný vůči indukovanému rušení, za předpokladu, že jsou vodiče vedeny spolu a nejlépe krouceny aniž by musely být stíněny.
Takový vstup je většinou řešen následovně:
![Diferenční zesilovač 1 [Patočka M., Řídící elektronika, VUT v Brně - UVEE]](./download/file.php?id=99460&sid=f62c77465453de352e947c2495f8060d)
- Diferenční zesilovač 1 [Patočka M., Řídící elektronika, VUT v Brně - UVEE]
- AUX1.jpg (7.61 KiB) Zobrazeno 4598 x
či
![AUX2.jpg (12.58 KiB) Zobrazeno 1460 x Diferenční zesilovač 2 [Patočka M., Řídící elektronika, VUT v Brně - UVEE]](./download/file.php?id=99461&t=1&sid=f62c77465453de352e947c2495f8060d)
- Diferenční zesilovač 2 [Patočka M., Řídící elektronika, VUT v Brně - UVEE]
Příklad 2 je z impedančního hlediska lepší.
Jestli je takto řešen AUX a MONO vstup na konektoru B, tak by přímé propojení AUX L a MONO nemělo dělat problémy. Případ 1 by možná mohl dělat problémy, případ 2 by měl být bez problémů.
Názory?

Re: Rádio 6000CD + handsfree (aux in, phone in)
Napsal: 27.02.2012 15:08
od Ajik
Tak jsem dnes pokračoval v hledání a strejda google kápl na schémátko, kde jsou příklady zapojení balanced a unbalanced vstupů.
Pokud jsou takto či podobně zapojeny i vstupy v rádiu, tak propojení by nemělo dělat problém. Spojím to a uvidí se.
Re: Rádio 6000CD + handsfree (aux in, phone in)
Napsal: 01.03.2012 17:02
od Ajik
Tak zapojeno, Parrot funguje, přepíná na telefon při hovoru, ale když zapnu AUX tak nehraje, je aktivní AUX 2 na konektoru C.
Otázkou tedy je jak donutit rádio brát signál z AUX 1, který je v části B?
Re: Rádio 6000CD + handsfree (aux in, phone in)
Napsal: 05.03.2012 19:22
od Ajik
Tak je rozhřešeno a vše vyřešeno.
- Parrot má výstupy:
- L+, L- < levý audio kanál
- P+, P- < pravý audio kanál
- MUTE < Signál pro Mute rádia při hovoru, volitelně aktivní i při přehrávání
- Napojení na rádio pro funkce:
- Rádio (AM/FM) - funkce nezměněna
- CD - funkce nezměněna
- AUX - přehrává hudbu ze stereo výstupu Parrota (má integrovaný MP3 přehrávač)
- Phone - automaticky přepne na telefon při příchozím/odchozím hovoru
- Zůstává zachováno automatické přepnutí na NEWS a TA (pokud neprobíhá hovor, hovor má nejvyšší prioritu)
- Každý ze vstupů má vlastní nastavení hlasitosti, basů a výšek, a to i AUX a PHONE.
- Zapojení
- Signál z handsfree pro L- a P- spojen a přiveden na rádio na pin Mono- (B:Pin7) a na pin Audio Gnd (C:Pin6).
- Signál z handsfree pro L+ přiveden na rádio na pin Mono+ (B:Pin1) a na pin Aux 2 L (C:Pin5).
- Signál z handsfree pro P+ přiveden na rádio na pin Aux 2 P (C:Pin11).
- Signál z handsfree pro MUTE přiveden na rádio na pin PTA (B:Pin5).
Vše i přes přímé spojení pinů v pořádku hraje, nešumí, nic se neruší, ani nedochází k žádným přeslechům.

Re: Rádio 6000CD + handsfree (aux in, phone in) - VYŘEŠENO
Napsal: 29.05.2012 00:24
od stimpoff
Rád bych to také tak zapojil, kde seženu patřičný konektor? Originál co je v autě má osazeno jen pár pinů. Díky
Re: Rádio 6000CD + handsfree (aux in, phone in) - VYŘEŠENO
Napsal: 29.05.2012 10:24
od Ajik
Ahoj, máš několik možností.
Piny lze sehnat na vrakáči.
Piny lze koupit na ebay.
Nebo si pomoct součástkami z GMe.
Já volil tu třetí, kloudný vrakáč jsem v Brně nenašel a na ebay se mi čekat nechtělo.
Jako piny do stávajících konektorů lze použít
KONPC-SPK-PI nebo
PFF02-01FG, já použil ty druhí měl jsem je doma. Není to přesný ideál, ale drží.
Do části konektoru, kde nejsou vůbec sokly osazeny stačí obyčejná dutinková lišta
BL810GD. Dutinková lišta na rádiu dobře drží, jen se musí na rádio nastrčit před nazasezím původního ISO konektoru (do něj ji nelze přidělat).
Snad jsem ti pomohl.
Re: Rádio 6000CD + handsfree (aux in, phone in) - VYŘEŠENO
Napsal: 29.05.2012 10:32
od ZaQik
stimpoff píše:Rád bych to také tak zapojil, kde seženu patřičný konektor? Originál co je v autě má osazeno jen pár pinů. Díky
napis mi jake a kolik jich potrebujes